Bolets adaptògens per reforçar el sistema immunitari a l’hivern
L'hivern suposa un desafiament significatiu per al nostre sistema immunològic. La combinació de temperatures fredes, menor exposició solar, ambients tancats amb escassa ventilació i una major circulació de virus respiratoris crea l'escenari perfecte perquè les nostres defenses es vegin compromeses. En aquest context, els bolets medicinals emergeixen com a aliats naturals avalats per segles d'ús tradicional i dècades de recerca científica contemporània.
Els bolets medicinals contenen molècules bioactives úniques que no es troben en altres aliments. Entre aquestes destaquen els polisacàrids de tipus beta-glucans, triterpens, ergosterol i proteïnes immunomoduladores, compostos que actuen de manera sinèrgica per optimitzar la resposta immunitària sense provocar una sobreactivació del sistema, cosa que els diferencia d'altres estimulants immunològics més convencionals.
Què són els beta-glucans?
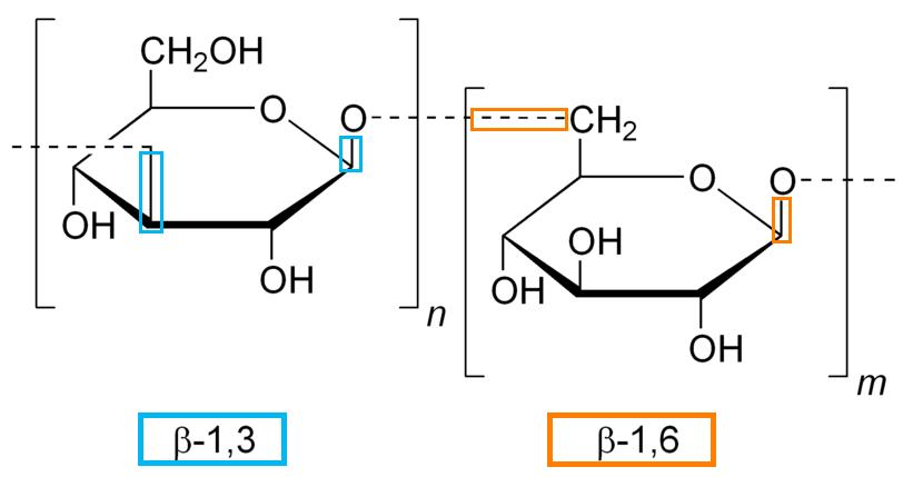
Els beta-glucans són polisacàrids estructurals que formen part de la paret cel·lular dels bolets. La seva estructura molecular, caracteritzada per enllaços β-(1,3) i β-(1,6) entre unitats de D-glucosa, els confereix la capacitat d'interactuar amb receptors específics del sistema immunitari, principalment els receptors tipus Toll (TLR) i el receptor Dectin-1 present en macròfags i cèl·lules dendrítiques.

Estructura molecular demostrant la orientació i la ubicació de diferents enllaços dels beta-glucans. (Font Wikipedia).
Quan aquests polisacàrids s'uneixen a aquests receptors, desencadenen cascades de senyalització intracel·lular que activen la resposta immune innata i adaptativa. El notable d'aquest procés és que els beta-glucans no actuen com a estimulants indiscriminats, sinó com a moduladors que equilibren la resposta Th1 i Th2, cosa que resulta especialment rellevant en casos d'inflamació crònica o respostes al·lèrgiques.
Reishi (Ganoderma lucidum i Ganoderma lingzhi)

Un bloc de substrat amb Reishi creixent en la seva forma "Antler" – mètode de cultiu dins de bosses de plàstic que causen aquesta forma de creixement allargada del Reishi.
El Reishi (Ganoderma lucidum i Ganoderma lingzhi), conegut en la medicina tradicional xinesa com a Lingzhi o "fong de la immortalitat", ha estat objecte de més de mil estudis científics que confirmen les seves propietats immunomoduladores. La seva composició inclou més de 400 compostos bioactius, sent els més estudiats els polisacàrids beta-glucans i els triterpens, especialment els àcids ganodèrics.
Els polisacàrids del Reishi han demostrat en estudis in vitro i in vivo la capacitat d'incrementar l'activitat de cèl·lules Natural Killer (NK), millorar la proliferació de limfòcits T i augmentar la producció de citocines com la interleucina-2 (IL-2) i el factor de necrosi tumoral alfa (TNF-α). Recerques realitzades a la Xina amb pacients de càncer de pulmó van evidenciar que el consum d'extractes de Reishi podia antagonitzar l'efecte immunosupressor originat per les cèl·lules canceroses, mantenint actives les cèl·lules immunitàries en condicions d'elevat estrès metabòlic.

Ganoderma lingzhi (Reishi) creixent al bosc (Font: Canva)
Un estudi publicat a Foods (2023) per Chen i col·laboradors va avaluar l'administració de beta-1,3; 1,6 D-glucans derivats de Ganoderma lucidum en voluntaris adults sans, demostrant una modulació positiva de la funció immune. Els triterpens, per la seva part, exerceixen un efecte sinèrgic en reduir la inflamació crònica i modular l'eix hipotàlem-hipòfisi-adrenal, cosa que converteix el Reishi en un adaptogen complet que no només enforteix les defenses sinó que també ajuda a gestionar l'estrès, factor que sabem compromet significativament la immunitat.
Els beneficis del Reishi per al sistema immune es potencien quan es consumeix de forma continuada durant els mesos de major vulnerabilitat. La seva acció no es limita a un efecte immediat, sinó que contribueix a mantenir un estat d'homeòstasi immunològica que permet a l'organisme respondre de manera més eficaç davant patògens respiratoris típics de l'hivern.
Shiitake (Lentinula edodes)
El Shiitake (Lentinula edodes) és el segon fong més consumit al món, però més enllà del seu valor gastronòmic, conté compostos amb una activitat immunomoduladora extraordinària. El lentinan, un beta-glucà específic d'aquesta espècie aïllat per primera vegada el 1970 per investigadors del Centre de Recerca Nacional del Càncer del Japó, ha estat objecte d'intens escrutini científic durant més de cinc dècades.
El lentinan activa múltiples vies de senyalització immunològica, incloent les rutes MAPK-NFκB i Syk-PKC, cosa que resulta en una estimulació coordinada de macròfags, cèl·lules NK, cèl·lules dendrítiques i limfòcits T. Un estudi clínic realitzat amb 52 adults sans que van consumir entre 5 i 10 grams de Shiitake sec diàriament durant quatre setmanes va mostrar una activació més marcada de cèl·lules γδ-T i NK-T, un increment de la immunoglobulina A salival (primera línia de defensa en mucoses respiratòries) i un descens de la proteïna C reactiva, marcador d'inflamació sistèmica.
Un altre compost rellevant present en el Shiitake és l'AHCC (Compost Correlacionat d'Hexosa Activa), derivat del miceli d'aquest bolet, que ha demostrat en estudis japonesos incrementar el nombre de cèl·lules T fins a un 200% i potenciar la producció de citocines que estimulen la immunitat cel·lular. Recerques publicades a International Immunopharmacology han documentat que l'extracte de Shiitake pot incrementar el nombre i activitat de cèl·lules dendrítiques, limfòcits T reguladors, cèl·lules CD4, CD8, limfòcits B, cèl·lules NK i NKT en teixits limfoides.
L'eritadenina, un altre compost bioactiu present en el Shiitake, encara que més estudiada pels seus efectes hipocolesterolemiants, contribueix indirectament a la salut immunitària en millorar la circulació i reduir la inflamació vascular. Per maximitzar els beneficis del Shiitake durant l'hivern, és recomanable el seu consum regular, ja sigui en forma culinària o com a extracte concentrat, atès que els estudis assenyalen efectes dosi-dependents en la modulació immunitària.
Maitake (Grifola frondosa)

Maitake (Grifola frondosa) creixent en un tronc (Font: Canva).
El Maitake (Grifola frondosa), el nom japonès del qual significa "fong dansant" o "fong ballador", és una espècie que creix a les bases d'arbres caducifolis com roures i castanyers, formant estructures en forma de múltiples capes superposades que poden assolir mides considerables. Durant més de tres mil·lennis ha estat valorat en la medicina tradicional asiàtica, i en temps feudals japonesos s'intercanviava pel seu pes en plata, sent considerat el rei dels fongs pels seus efectes tònics.
El que distingeix el Maitake d'altres bolets medicinals és la presència de fraccions específiques de beta-glucans que han estat aïllades i patentades per la seva extraordinària activitat biològica. La fracció D, un beta-glucà d'alt pes molecular, va ser aprovada a la Xina el 2010 com a suplement per al càncer. Posteriorment, el Dr. Hiroaki Nanba va aïllar la fracció MD (Maitake D-fraction), considerada encara més potent, biodisponible per via oral i amb un major grau de purificació. Més recentment s'ha identificat el GFP-22, un altre polisacàrid amb aplicacions immunomoduladores prometedores.
Els mecanismes d'acció d'aquests polisacàrids s'han elucidat mitjançant estudis moleculars sofisticats. Recerques publicades al Journal of Leukocyte Biology han demostrat que els beta-glucans solubles del Maitake indueixen la proliferació de macròfags residents a través de senyalització Dectin-1/Syk, activant la via autocrina del factor estimulant de colònies de granulòcits-macròfags (GM-CSF). Aquest procés resulta en una activació coordinada del sistema immune sense provocar una inflamació excessiva.
Un aspecte particularment rellevant documentat en estudis preclínics és la capacitat de la fracció MD per ser capturada per cèl·lules presentadores d'antigen a les plaques de Peyer de l'intestí després de la seva administració oral. Des d'allà, el compost es transporta a la melsa, on indueix una resposta immune sistèmica. Aquest mecanisme, descrit en recerques recents sobre immunoteràpia oral, implica tres efectes coordinats: la inducció de cèl·lules T específiques mitjançant activació de cèl·lules dendrítiques depenent de Dectin-1, l'increment de la infiltració de cèl·lules T activades en teixits diana, i la disminució de cèl·lules immunosupressores com les cèl·lules T reguladores i cèl·lules supressores derivades de mieloides.
Estudis realitzats a la Universitat de Louisville van avaluar els efectes immuno-potenciadors d'extractes de Maitake, confirmant la seva capacitat per activar macròfags i afavorir la replicació de cèl·lules NK (cèl·lules assassines naturals), fonamentals en la resposta contra infeccions virals i en la vigilància antitumoral.
Una característica distintiva del Maitake és la seva acció com a regulador hormonal, especialment beneficiosa per a la salut femenina. Aquesta propietat, combinada amb els seus efectes sobre el metabolisme de la glucosa i els lípids, el converteix en un adaptogen multifuncional. Recerques realitzades en universitats xineses han avaluat les propietats antidiabètiques dels polisacàrids del miceli de Maitake en models de diabetis induïda, observant reduccions significatives en els nivells de glucosa plasmàtica, així com regulació de la creatinina sèrica i albuminúria. Els mecanismes proposats inclouen la millora de la resistència a la insulina i la protecció contra l'estrès oxidatiu en teixit renal.
El Maitake també conté ergosterol, precursor de la vitamina D que en ser exposat a llum ultraviolada es converteix en vitamina D2. Aquest nutrient resulta essencial per a la funció immunitària i sol estar disminuït durant els mesos d'hivern a causa de la reduïda exposició solar. La presència de minerals com potassi, fòsfor, magnesi i zinc, juntament amb vitamines del grup B (tiamina, riboflavina i niacina), complementa el seu perfil nutricional i contribueix al manteniment de l'equilibri metabòlic que sustenta una resposta immune òptima.
Un altre compost d'interès és la fracció MX, un beta-glucà patentat amb propietats immunoreguladores específiques. A més, el Maitake conté el disacàrid trehalosa, que actua com a prebiòtic afavorint el desenvolupament de bifidobactèries i Lactobacillus en la microbiota intestinal. Atès que aproximadament el 70% del sistema immunitari resideix a l'intestí, aquesta acció prebiòtica representa un mecanisme addicional mitjançant el qual el Maitake potencia les defenses de l'organisme.
Sinergia entre bolets medicinals: l'efecte combinat
Tot i que cadascun d'aquests tres bolets posseeix propietats immunomoduladores específiques, el seu ús combinat pot oferir beneficis sinèrgics. El Reishi aporta modulació de l'eix d'estrès i equilibri del sistema nerviós, el Shiitake proporciona estimulació directa de cèl·lules immunitàries a través del lentinan, i el Maitake ofereix regulació immunometabòlica amb efectes sobre hormones, glucosa i lípids. Aquesta estratègia de complementació múltiple, coneguda en micoteràpia com a "stacking", permet abordar la immunitat des de diferents angles fisiològics.
Els extractes d'aquests bolets s'han d'obtenir mitjançant processos de doble extracció (hidroalcohòlica) per garantir la biodisponibilitat tant dels polisacàrids hidrosolubles com dels triterpens liposolubles. La concentració de principis actius és un factor determinant, i per això els suplements de qualitat especifiquen els percentatges dels triterpens i beta-glucans, idealment certificats per laboratoris independents.
Contraindicacions i ús responsable
Els estudis científics que han avaluat els efectes immunomoduladors destaquen que els efectes són acumulatius i que la constància en el consum resulta més efectiva que dosis elevades esporàdiques.
Els bolets medicinals presenten un excel·lent perfil de seguretat quan es consumeixen en les dosis recomanades. No obstant això, a causa de les seves propietats immunomoduladores, persones amb malalties autoimmunes, trasplantats o sota tractament immunosupressor han de consultar amb un professional sanitari abans d'incorporar-los. També es recomana precaució en combinació amb anticoagulants, especialment en el cas del Reishi, que pot potenciar aquests efectes.
Integració en la rutina hivernal
Per obtenir els màxims beneficis d'aquests bolets medicinals durant l'hivern, la clau està en incorporar-los com a part d'una estratègia integral de salut que inclogui alimentació equilibrada, descans adequat, gestió de l'estrès i activitat física moderada. Els extractes es poden consumir en forma d'infusió, afegits a begudes calentes, o mitjançant càpsules estandarditzades que faciliten la dosificació precisa. A continuació us deixem un article de Lara de @Holy Fungi amb algunes de les seves receptes favorites per prendre i integrar extractes de bolets medicinals en una rutina diària hivernal.
Receptes amb bolets per a una bellesa radiant i un descans profund
En temps de ritme accelerat, la nostra pell reflecteix com vivim, descansem i ens alimentem. Els bolets medicinals —savis, nutritius i profundament connectats amb la terra— ofereixen una manera natural de donar suport a la luminositat, la regeneració i l’equilibri interior.
Read moreEl moment d'inici del suplement és rellevant: començar a la tardor, abans de l'arribada del fred intens i el pic de circulació de virus respiratoris, permet que el sistema immunitari desenvolupi una resposta òptima quan més la necessita. Aquesta aproximació preventiva, heretada de les tradicions mèdiques orientals, resulta més efectiva que l'ús reactiu davant els primers símptomes de malaltia.
Referències i fonts
- Ahmad, M.F., et al. (2021). "Ganoderma lucidum: A potential source to surmount viral infections through β-glucans immunomodulatory and triterpenoids antiviral properties". International Journal of Biological Macromolecules, 187:769-779.
- Chen, S.N., et al. (2023). "Evaluation of immune modulation by β-1,3;1,6 D-glucan derived from Ganoderma lucidum in healthy adult volunteers, a randomized controlled trial". Foods, 12(3):659.
- Cör, D., et al. (2018). "Antitumour, antimicrobial, antioxidant and antiacetylcholinesterase effect of Ganoderma lucidum terpenoids and polysaccharides: a review". Molecules, 23(3):649.
- Liu, M., et al. "Analysis of gene expression of cytokines in PBMCs treated with Lentinula edodes". International Immunopharmacology.
- Masuda, Y., et al. (2012). "Soluble β-glucan from Grifola frondosa induces proliferation and Dectin-1/Syk signaling in resident macrophages via the GM-CSF autocrine pathway". Journal of Leukocyte Biology, 91(4):547-556.
- Mayell, M. (2001). "Maitake extracts and their therapeutic potential". Alternative Medicine Review, 6(1):48-60.
- Vetvicka, V., & Vetvickova, J. (2014). "Immune-enhancing effects of Maitake (Grifola frondosa) and Shiitake (Lentinula edodes) extracts". Annals of Translational Medicine, 2(2):14.
- Wu, J.-Y., et al. (2021). "Bioactive Ingredients and Medicinal Values of Grifola frondosa (Maitake)". Foods, 10(1):95.
- Yue, G.G., et al. (2013). "Polysaccharides from Ganoderma lucidum". Journal of Ethnopharmacology.
- Zhang, Y., Lin, Z., Hu, Y., & Wang, F. (2008). "Effect of Ganoderma lucidum on lymphocyte CD4/CD8 ratio in athletes under high metabolic stress". Journal of Ethnopharmacology.
- Sun, J., et al. (2014). "Immunomodulatory effects of Ganoderma lucidum in lung cancer patients". Journal of Cancer Research.

